Register Guidelines E-Books Today's Posts Search

Go Back   MobileRead Forums > E-Book Formats > ePub

Notices

Reply
 
Thread Tools Search this Thread
Old 01-24-2015, 04:49 PM   #1
RbnJrg
Wizard
RbnJrg ought to be getting tired of karma fortunes by now.RbnJrg ought to be getting tired of karma fortunes by now.RbnJrg ought to be getting tired of karma fortunes by now.RbnJrg ought to be getting tired of karma fortunes by now.RbnJrg ought to be getting tired of karma fortunes by now.RbnJrg ought to be getting tired of karma fortunes by now.RbnJrg ought to be getting tired of karma fortunes by now.RbnJrg ought to be getting tired of karma fortunes by now.RbnJrg ought to be getting tired of karma fortunes by now.RbnJrg ought to be getting tired of karma fortunes by now.RbnJrg ought to be getting tired of karma fortunes by now.
 
Posts: 1,912
Karma: 9553087
Join Date: Mar 2013
Location: Rosario - Santa Fe - Argentina
Device: Kindle 4 NT
ADE 4 - MathML expressions

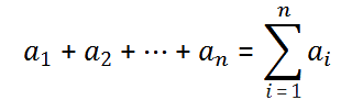
Theorically, ADE 4 supports MathML but I couldn't get the following expression (after epub3 conversion) displayed:

Code:
<math xmlns="http://www.w3.org/1998/Math/MathML">
<mrow>
	<msub>
		<mi>a</mi>
		<mn>1</mn>
	</msub>
	<mo>+</mo>
	<msub>
		<mi>a</mi>
		<mn>2</mn>
	</msub>
	<mo>+</mo>
	<mo>&ctdot;</mo>
	<mo>+</mo>
	<msub>
		<mi>a</mi>
		<mi>n</mi>
	</msub>
	<mo>=</mo>
	<mstyle displaystyle="true">
		<munderover>
			<mo>&sum;</mo>
			<mrow>
				<mi>i</mi>
				<mo>=</mo>
				<mn>1</mn>
			</mrow>
			<mi>n</mi>
		</munderover>
	</mstyle>
	<msub>
		<mi>a</mi>
		<mi>i</mi>
	</msub>
</mrow>
</math>
And should look as:

Click image for larger version

Name:	Image1.png
Views:	457
Size:	2.0 KB
ID:	134152

Anyone can get that result?
Regards

PS: I have IE11 (I say that because ADE 4 won't render epub3 with IE10 or lower).

Last edited by RbnJrg; 01-24-2015 at 05:03 PM.
RbnJrg is offline   Reply With Quote
Old 01-25-2015, 04:26 AM   #2
Doitsu
Grand Sorcerer
Doitsu ought to be getting tired of karma fortunes by now.Doitsu ought to be getting tired of karma fortunes by now.Doitsu ought to be getting tired of karma fortunes by now.Doitsu ought to be getting tired of karma fortunes by now.Doitsu ought to be getting tired of karma fortunes by now.Doitsu ought to be getting tired of karma fortunes by now.Doitsu ought to be getting tired of karma fortunes by now.Doitsu ought to be getting tired of karma fortunes by now.Doitsu ought to be getting tired of karma fortunes by now.Doitsu ought to be getting tired of karma fortunes by now.Doitsu ought to be getting tired of karma fortunes by now.
 
Doitsu's Avatar
 
Posts: 5,790
Karma: 24088595
Join Date: Dec 2010
Device: Kindle PW2
Apparently, the ADE 4 Windows version doesn't support MathML. If you want to test MathML, you can use the Readium Chrome plugin, which displays your formula fine. (Readium is the official IDPF ePub3 test app.)
Doitsu is offline   Reply With Quote
Old 01-25-2015, 06:18 AM   #3
RbnJrg
Wizard
RbnJrg ought to be getting tired of karma fortunes by now.RbnJrg ought to be getting tired of karma fortunes by now.RbnJrg ought to be getting tired of karma fortunes by now.RbnJrg ought to be getting tired of karma fortunes by now.RbnJrg ought to be getting tired of karma fortunes by now.RbnJrg ought to be getting tired of karma fortunes by now.RbnJrg ought to be getting tired of karma fortunes by now.RbnJrg ought to be getting tired of karma fortunes by now.RbnJrg ought to be getting tired of karma fortunes by now.RbnJrg ought to be getting tired of karma fortunes by now.RbnJrg ought to be getting tired of karma fortunes by now.
 
Posts: 1,912
Karma: 9553087
Join Date: Mar 2013
Location: Rosario - Santa Fe - Argentina
Device: Kindle 4 NT
Quote:
Originally Posted by Doitsu View Post
Apparently, the ADE 4 Windows version doesn't support MathML. If you want to test MathML, you can use the Readium Chrome plugin, which displays your formula fine. (Readium is the official IDPF ePub3 test app.)
Many thanks Doitsu. That means that ADE 4.0 for Windows is a washout I knew the formula was fine because under Gitden Reader (for Android) and even EpubReader for Firefox I could see the expression as expected but I couldn't get the same result with ADE. Now I know it was because ADE 4.0 -for Windows- DOESN'T SUPPORT MATHML. So, ADE 4 is to epub3 what ADE 3/2 is to epub2 (at least, under Windows)
RbnJrg is offline   Reply With Quote
Old 01-26-2015, 02:22 PM   #4
DaleDe
Grand Sorcerer
DaleDe ought to be getting tired of karma fortunes by now.DaleDe ought to be getting tired of karma fortunes by now.DaleDe ought to be getting tired of karma fortunes by now.DaleDe ought to be getting tired of karma fortunes by now.DaleDe ought to be getting tired of karma fortunes by now.DaleDe ought to be getting tired of karma fortunes by now.DaleDe ought to be getting tired of karma fortunes by now.DaleDe ought to be getting tired of karma fortunes by now.DaleDe ought to be getting tired of karma fortunes by now.DaleDe ought to be getting tired of karma fortunes by now.DaleDe ought to be getting tired of karma fortunes by now.
 
DaleDe's Avatar
 
Posts: 11,470
Karma: 13095790
Join Date: Aug 2007
Location: Grass Valley, CA
Device: EB 1150, EZ Reader, Literati, iPad 2 & Air 2, iPhone 7
Quote:
Originally Posted by RbnJrg View Post
Many thanks Doitsu. That means that ADE 4.0 for Windows is a washout I knew the formula was fine because under Gitden Reader (for Android) and even EpubReader for Firefox I could see the expression as expected but I couldn't get the same result with ADE. Now I know it was because ADE 4.0 -for Windows- DOESN'T SUPPORT MATHML. So, ADE 4 is to epub3 what ADE 3/2 is to epub2 (at least, under Windows)
It is clear that ADE 4.0 is tied to Internet Explorer code and IE is known to be really slow at support HTML5 so I would expect that until IE supports MathML you will not see it in ADE 4 and a whole lot of other things will not work.

According to http://html5test.com/compare/browser/ie-TP.html the beta version of IE will support MathML so there is a chance for a future point release of ADE 4. That web site, by the way, is a great place to see how browsers compare on HTML5 issues. You will see that even with the beta version IE is way behind most every other browser.

Dale
DaleDe is offline   Reply With Quote
Old 01-26-2015, 07:51 PM   #5
RbnJrg
Wizard
RbnJrg ought to be getting tired of karma fortunes by now.RbnJrg ought to be getting tired of karma fortunes by now.RbnJrg ought to be getting tired of karma fortunes by now.RbnJrg ought to be getting tired of karma fortunes by now.RbnJrg ought to be getting tired of karma fortunes by now.RbnJrg ought to be getting tired of karma fortunes by now.RbnJrg ought to be getting tired of karma fortunes by now.RbnJrg ought to be getting tired of karma fortunes by now.RbnJrg ought to be getting tired of karma fortunes by now.RbnJrg ought to be getting tired of karma fortunes by now.RbnJrg ought to be getting tired of karma fortunes by now.
 
Posts: 1,912
Karma: 9553087
Join Date: Mar 2013
Location: Rosario - Santa Fe - Argentina
Device: Kindle 4 NT
Quote:
Originally Posted by DaleDe View Post
It is clear that ADE 4.0 is tied to Internet Explorer code and IE is known to be really slow at support HTML5 so I would expect that until IE supports MathML you will not see it in ADE 4 and a whole lot of other things will not work.

According to http://html5test.com/compare/browser/ie-TP.html the beta version of IE will support MathML so there is a chance for a future point release of ADE 4. That web site, by the way, is a great place to see how browsers compare on HTML5 issues. You will see that even with the beta version IE is way behind most every other browser.

Dale
Thanks Dale. Now I'm trying to see if I can get math expressions on ADE by using scripts (again, theorically ADE should support scripts). I'm doing experiments with Mathjax and Katex but so far, no success
RbnJrg is offline   Reply With Quote
Old 05-15-2015, 06:42 PM   #6
jwlewis
Junior Member
jwlewis began at the beginning.
 
Posts: 8
Karma: 10
Join Date: May 2015
Device: iPad
ADE 4.0.3 for Windows

According to the Adobe release notes ADE 4.0.3 for Windows supports MathML. However, I have been testing epub readers and so far I have found only Apple iBooks epub reader, Readium app for Chrome epub3 reader, and Calibre displays MathML correctly. I have also tried to display my MathML test equations in FireFox, IE, Chrome, and Safari browsers and found that only Firefox (38.0.1) displays the MathML equations correctly. The other three browser do not display MathML.

Here is my test epub that I have been using to test ePub readers. It containing two MathML equations, area of a circle and the quadratic formula:

https://dl.dropboxusercontent.com/u/...tester-v2.epub

Hope this helps.
jwlewis is offline   Reply With Quote
Old 05-16-2015, 02:21 AM   #7
Doitsu
Grand Sorcerer
Doitsu ought to be getting tired of karma fortunes by now.Doitsu ought to be getting tired of karma fortunes by now.Doitsu ought to be getting tired of karma fortunes by now.Doitsu ought to be getting tired of karma fortunes by now.Doitsu ought to be getting tired of karma fortunes by now.Doitsu ought to be getting tired of karma fortunes by now.Doitsu ought to be getting tired of karma fortunes by now.Doitsu ought to be getting tired of karma fortunes by now.Doitsu ought to be getting tired of karma fortunes by now.Doitsu ought to be getting tired of karma fortunes by now.Doitsu ought to be getting tired of karma fortunes by now.
 
Doitsu's Avatar
 
Posts: 5,790
Karma: 24088595
Join Date: Dec 2010
Device: Kindle PW2
Your test book also displayed OK with Gitden Reader; it didn't display OK with ADE 4, which was to be expected since your test book is an epub2 ebook and MathML support was introduced in epub3.
(After conversion to an epub3 ebook with the Sigil ePub3 plugin your test book displayed OK with ADE 4.)
Doitsu is offline   Reply With Quote
Old 05-17-2015, 04:53 AM   #8
JSWolf
Resident Curmudgeon
JSWolf ought to be getting tired of karma fortunes by now.JSWolf ought to be getting tired of karma fortunes by now.JSWolf ought to be getting tired of karma fortunes by now.JSWolf ought to be getting tired of karma fortunes by now.JSWolf ought to be getting tired of karma fortunes by now.JSWolf ought to be getting tired of karma fortunes by now.JSWolf ought to be getting tired of karma fortunes by now.JSWolf ought to be getting tired of karma fortunes by now.JSWolf ought to be getting tired of karma fortunes by now.JSWolf ought to be getting tired of karma fortunes by now.JSWolf ought to be getting tired of karma fortunes by now.
 
JSWolf's Avatar
 
Posts: 82,122
Karma: 150871427
Join Date: Nov 2006
Location: Roslindale, Massachusetts
Device: Kobo Libra 2, Kobo Aura H2O, PRS-650, PRS-T1, nook STR, PW3
The only problem you might have with MathML is people using older versions of ADE/RMDSK and MathML not properly displaying.
JSWolf is online now   Reply With Quote
Old 05-23-2015, 07:40 PM   #9
jwlewis
Junior Member
jwlewis began at the beginning.
 
Posts: 8
Karma: 10
Join Date: May 2015
Device: iPad
Quote:
Originally Posted by Doitsu View Post
Your test book also displayed OK with Gitden Reader; it didn't display OK with ADE 4, which was to be expected since your test book is an epub2 ebook and MathML support was introduced in epub3.
(After conversion to an epub3 ebook with the Sigil ePub3 plugin your test book displayed OK with ADE 4.)
Thanks for your reply. I did change my test file to EPUB3 and it did work in ADE 4.0.3. I also downloaded Gitden Reader to my iPad and it too rendered my test file.

I have been using Azardi 38 Reader. So far it seems to render MathML equations the best. InfoGridPacific has created and old classic book (The theory of Heat Radiation - Dr. Max Plank) filled with both inline and block MathML statements that looks like a great test bed for MathML. I reviewed the book on Azardi 38 and Gitden Readers. The Gitden reader does not properly render parentheses and brackets. I also note that the ADE rendering of equations in my lastest MathML Tester depends on the setting of the font size in ADE. The only font size that render correctly is Extra Large. The other sizes mess up some aspect of one or more equations. Both the Azardi and Gitden readers render test file correctly.

Last edited by jwlewis; 05-23-2015 at 07:44 PM.
jwlewis is offline   Reply With Quote
Reply


Forum Jump

Similar Threads
Thread Thread Starter Forum Replies Last Post
epub -> pdf with mathml xristy Calibre 8 11-23-2013 10:48 PM
Aura HD MathML and some other question lilheliottin Kobo Reader 5 05-30-2013 08:37 AM
MathML TO SVG saravanan.p ePub 2 08-11-2011 12:38 PM
MathML saravanan.p ePub 10 08-09-2011 02:13 PM
Mathematics/MathML in EPUB AprilHare ePub 18 02-24-2010 09:30 AM


All times are GMT -4. The time now is 05:22 PM.


MobileRead.com is a privately owned, operated and funded community.