Register Guidelines E-Books Today's Posts Search

Go Back   MobileRead Forums > E-Book Readers > Kobo Reader

Notices

Reply
 
Thread Tools Search this Thread
Old 03-15-2019, 02:11 PM   #1
BloodRagg
Zealot
BloodRagg ought to be getting tired of karma fortunes by now.BloodRagg ought to be getting tired of karma fortunes by now.BloodRagg ought to be getting tired of karma fortunes by now.BloodRagg ought to be getting tired of karma fortunes by now.BloodRagg ought to be getting tired of karma fortunes by now.BloodRagg ought to be getting tired of karma fortunes by now.BloodRagg ought to be getting tired of karma fortunes by now.BloodRagg ought to be getting tired of karma fortunes by now.BloodRagg ought to be getting tired of karma fortunes by now.BloodRagg ought to be getting tired of karma fortunes by now.BloodRagg ought to be getting tired of karma fortunes by now.
 
BloodRagg's Avatar
 
Posts: 128
Karma: 842196
Join Date: Feb 2019
Device: none
Talking One-Click Benchmark (for flash/mmc/sdcards)

One-Click Benchmark v0.1b (c) GPLv2 mar 2019 by BloodRagg [qXt]

'ocbench' benchmarks the internal flashrom/sd card/mmc or
the external sd card if one is present and write the results
to a file on your KOBOeReader partition or sdcard.

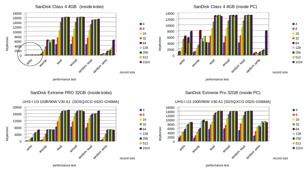
After replacing my sdcard I could clearly notice performance improvements,
and wanted to know why. See graph below.

I made this so people can find a proper replacement card for their
ereader. Want to help out? Share your results in this thread.

Disclaimer:
This shell script is provided as is without any guarantees or warranty. In
association with the product, I make no warranties or responsibility of any
kind, either express or implied, including but not limited to warranties of
merchantability, fitness for a particular purpose, of title, or of
noninfringement of third party rights. Use of the product by a user is at
the user’s risk.

benchmarking device:

1. download or copy the KoboRoot.tgz onto the KOBOeReader/.kobo folder.
2. unplug the device and allow it to update and reboot.

!IMPORTANT!:

after the device reboots the benchmark will start.
the root partition is made read-only during benchmarking.
depending on the speed of a hardware this may take a minute or two.

after the benchmark is done, the device will reboot automatically.

when you connect the eReader you should see the following new files:
* benchmark-'date'.txt

Enjoy,
BloodRagg
Attached Thumbnails
Click image for larger version

Name:	result.png
Views:	162
Size:	4.7 KB
ID:	170233   Click image for larger version

Name:	graph.png
Views:	175
Size:	92.8 KB
ID:	170260  
Attached Files
File Type: zip ocbench_v0.1a.zip (205.5 KB, 97 views)
File Type: txt result.txt (2.9 KB, 119 views)
File Type: zip ocbench_v0.1b.zip (205.6 KB, 92 views)

Last edited by BloodRagg; 03-17-2019 at 05:36 AM. Reason: Updated to new version
BloodRagg is offline   Reply With Quote
Old 03-17-2019, 05:39 AM   #2
BloodRagg
Zealot
BloodRagg ought to be getting tired of karma fortunes by now.BloodRagg ought to be getting tired of karma fortunes by now.BloodRagg ought to be getting tired of karma fortunes by now.BloodRagg ought to be getting tired of karma fortunes by now.BloodRagg ought to be getting tired of karma fortunes by now.BloodRagg ought to be getting tired of karma fortunes by now.BloodRagg ought to be getting tired of karma fortunes by now.BloodRagg ought to be getting tired of karma fortunes by now.BloodRagg ought to be getting tired of karma fortunes by now.BloodRagg ought to be getting tired of karma fortunes by now.BloodRagg ought to be getting tired of karma fortunes by now.
 
BloodRagg's Avatar
 
Posts: 128
Karma: 842196
Join Date: Feb 2019
Device: none
Updated to new version 0.1b :

Proper replacement cards: SDSQXCG-032G-GN6MA
BloodRagg is offline   Reply With Quote
Advert
Reply


Forum Jump

Similar Threads
Thread Thread Starter Forum Replies Last Post
Kindle 3 Page-turn button noise: Click or no click? samonakuba Amazon Kindle 12 07-25-2011 06:21 PM
Digital Reader not reading any sdcards pakiyabhai iRex 21 01-31-2010 05:09 AM
Anti- 1-click buy settings. 1-click is security risk? Need support from community med007 Amazon Kindle 14 07-30-2009 01:37 AM
CF vs MMC jasem200 iRex 16 11-10-2008 07:53 AM
How to Use MMC jasem200 iRex 24 06-13-2008 08:36 PM


All times are GMT -4. The time now is 05:39 AM.


MobileRead.com is a privately owned, operated and funded community.